User Tag List

Страница 4 из 6 ПерваяПервая 123456 ПоследняяПоследняя
Показано с 31 по 40 из 51

Тема: Вопрос по экранной области памяти

  1. #31

    Регистрация
    04.07.2005
    Адрес
    Нижний Тагил
    Сообщений
    842
    Записей в дневнике
    1
    Спасибо Благодарностей отдано 
    0
    Спасибо Благодарностей получено 
    0
    Поблагодарили
    0 сообщений
    Mentioned
    0 Post(s)
    Tagged
    0 Thread(s)

    По умолчанию

    ИНФОРКОМ, Элементарная графика. 1993 год 8)

    Добавлено через 1 минуту
    тот же алгоритм расчета разжованый на 3 листа....
    Последний раз редактировалось Splinter; 02.12.2008 в 10:17. Причина: Добавлено сообщение

  2. #31
    С любовью к вам, Yandex.Direct
    Размещение рекламы на форуме способствует его дальнейшему развитию

  3. #32

    Регистрация
    26.03.2008
    Адрес
    Питкяранта
    Сообщений
    1,823
    Спасибо Благодарностей отдано 
    275
    Спасибо Благодарностей получено 
    122
    Поблагодарили
    95 сообщений
    Mentioned
    1 Post(s)
    Tagged
    0 Thread(s)

    По умолчанию

    Ясен палец, придумано...
    Но каждый вновь сам для себя велосипед изобретает (тратя на это время = свою жизнь). По кусочку от каждого = кто-то живёт вечно???
    Короче тут Shadow Maker в соседней теме ругается, и как раз по этому поводу...
    Не буду спорить...
    Как хотите...
    P.S. Я просто хотел максимумом что знаю сразу поделится...
    А про второй экран я тож в курсе, спасибо...

  4. #33

    Регистрация
    04.07.2005
    Адрес
    Нижний Тагил
    Сообщений
    842
    Записей в дневнике
    1
    Спасибо Благодарностей отдано 
    0
    Спасибо Благодарностей получено 
    0
    Поблагодарили
    0 сообщений
    Mentioned
    0 Post(s)
    Tagged
    0 Thread(s)

    По умолчанию

    ну прям обиделся 8))))... мы тебе про то, что мож ты не знал ?....

  5. #34

    Регистрация
    14.02.2005
    Адрес
    Владивосток
    Сообщений
    111
    Спасибо Благодарностей отдано 
    0
    Спасибо Благодарностей получено 
    0
    Поблагодарили
    0 сообщений
    Mentioned
    0 Post(s)
    Tagged
    0 Thread(s)

    По умолчанию

    Цитата Сообщение от Лас Посмотреть сообщение
    Существует версия, что такая нелепая последовательность пикселов произошла из-за ошибки при проектировании или изготовлении микросхем ULA (БМК) на заводе компании Ferranti и спешки Синклера.

    Микросхема ULA содержит в себе большую часть схемы Спектрума, а не только схему видео. Своеобразный "чипсет", едрен батон.
    Было решено применять микросхему ULA Ferranti в целях снижения себестоимости компьютера. Такие микросхемы заказывались и изготавливались партиями в тысячи, а то и в десятки тысяч штук.

    Вкратце:

    В компании Ferranti мистер Синклер и Ко заказал партию микросхем, хотя сам компьютер и программное обеспечение ПЗУ Спектрума еще не было готово. Работа над доводкой схемы и программой ПЗУ велась параллельно с штамповкой ULA.

    Было официально обьявлено, что выпуск ZX Spectrum начнется в апреле 1982 года, но, как выяснилось позже, что и к маю 1982 года Синклер не успевал создать законченный продукт. Выпуску мешали многочисленные несостыковки.
    Например, несколько десятков тысяч выпущенных микросхем ULA Ferranti содержали в себе несколько ошибок. В их числе и перепутанный бит адресации экрана. Переделывать микросхемы было поздно - поджимали сроки, было решено править программное обеспечение в ПЗУ, благо оно все еще находилось в процессе разработки.

    Вот и имеем мы такую кривую адресацию экрана. Не ясно, ругать Ferranti и Синклера с Компанией или хвалить за это...
    жесть какая. адресация явно тщательно продумана и четко состыкована и Викерсом и Альтвассером

  6. #35

    Регистрация
    22.01.2005
    Адрес
    Moscow
    Сообщений
    2,250
    Спасибо Благодарностей отдано 
    42
    Спасибо Благодарностей получено 
    282
    Поблагодарили
    109 сообщений
    Mentioned
    1 Post(s)
    Tagged
    0 Thread(s)

    По умолчанию

    Цитата Сообщение от Лас Посмотреть сообщение
    Существует версия, что такая нелепая последовательность пикселов произошла из-за ошибки при проектировании или изготовлении микросхем ULA (БМК) на заводе компании Ferranti и спешки Синклера.

    Например, несколько десятков тысяч выпущенных микросхем ULA Ferranti содержали в себе несколько ошибок. В их числе и перепутанный бит адресации экрана. Переделывать микросхемы было поздно - поджимали сроки, было решено править программное обеспечение в ПЗУ, благо оно все еще находилось в процессе разработки.

    Вот и имеем мы такую кривую адресацию экрана. Не ясно, ругать Ferranti и Синклера с Компанией или хвалить за это...
    Возможно такая версия кому-то в голову и пришла. Но видимо этот "кто-то" не сильно старался изучить имеющиеся факты. Дело в том, что имеющееся в настоящее время адресация экрана ZX Spectrum была запатентована. И патент оформлен на Ричарда Альтвассера. Согласитесь, было бы странно, если еще на этапе разработки и подготовки к выпуску (а Альтвассер покинул Sinclair Research Ltd. именно в этот период в начале 1982) ошибку запатентовали, а потом оформили "в железе".

    Нелепо выглядит и предположение "о правке кода в ПЗУ" под эту "запатентованную ошибку". Чего править то, если о том как "оно будет" давно известно.

    Код ПЗУ не доработали лишь потому, что не был готов в железе Interface 1. Именно под него оставалось зарезервированно место.

  7. #36

    Регистрация
    28.07.2005
    Адрес
    Новосибирск
    Сообщений
    119
    Спасибо Благодарностей отдано 
    0
    Спасибо Благодарностей получено 
    0
    Поблагодарили
    0 сообщений
    Mentioned
    0 Post(s)
    Tagged
    0 Thread(s)

    По умолчанию

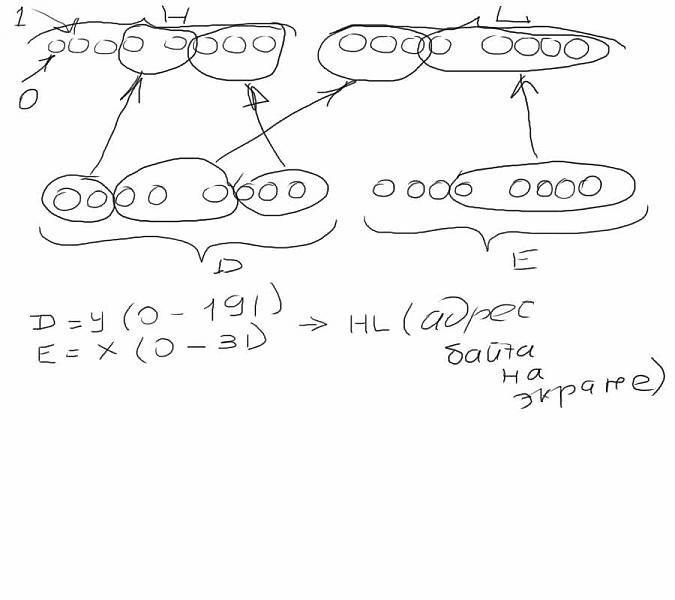
    процедура трансляции координат байта в экранный адрес проста. Там просто берешь и передвигаешь биты (хорошо рассмотрев экран, это доступно).
    Чтобы проц не напрягать, делаешь таблицу. А по смещению из нее читаешь адрес.
    координаты байта:
    D = Y
    E = X
    выход
    HL = адрес
    с адреса #5800 начинаются 768 байт цветовых атрибутов.
    Миниатюры Миниатюры Нажмите на изображение для увеличения. 

Название:	de-hl.jpg 
Просмотров:	290 
Размер:	36.7 Кб 
ID:	9774   Нажмите на изображение для увеличения. 

Название:	colors.jpg 
Просмотров:	247 
Размер:	19.4 Кб 
ID:	9775  
    Последний раз редактировалось voxon; 03.12.2008 в 04:35. Причина: нарисовал, как мог :-)
    Amadeus Voxon, Flash inc.

  8. #37

    Регистрация
    31.10.2005
    Адрес
    Кемерово
    Сообщений
    1,390
    Спасибо Благодарностей отдано 
    119
    Спасибо Благодарностей получено 
    20
    Поблагодарили
    11 сообщений
    Mentioned
    1 Post(s)
    Tagged
    0 Thread(s)

    По умолчанию

    одни из самых часто используемых процедур переход к след байту вниз/вверх и вычисление адреса атрибутов по байту графики... вариантов море и быстрые и короткие и с табличками и без...
    Всётаки если была линейная адрессация былоб гораздо лучше!
    Последний раз редактировалось daniel; 03.12.2008 в 05:25.

  9. #38

    Регистрация
    28.07.2005
    Адрес
    Новосибирск
    Сообщений
    119
    Спасибо Благодарностей отдано 
    0
    Спасибо Благодарностей получено 
    0
    Поблагодарили
    0 сообщений
    Mentioned
    0 Post(s)
    Tagged
    0 Thread(s)

    По умолчанию

    Что-то накидал по рисунку своему. Для расчета таблиц должно подойти:
    -----
    LD A,E
    AND #1F
    LD L,A
    LD A,D
    RLA
    RLA
    AND #E0
    OR L
    LD L,A
    LD A,D
    AND #7
    LD H,A
    LD A,D
    AND #C0
    RRA
    RRA
    RRA
    OR H
    OR #40
    LD H,A
    ----
    Надеюсь не ошибся :-)
    Amadeus Voxon, Flash inc.

  10. #39

    Регистрация
    08.09.2005
    Адрес
    Воронеж
    Сообщений
    5,024
    Записей в дневнике
    3
    Спасибо Благодарностей отдано 
    326
    Спасибо Благодарностей получено 
    336
    Поблагодарили
    258 сообщений
    Mentioned
    11 Post(s)
    Tagged
    0 Thread(s)

    По умолчанию

    Цитата Сообщение от daniel Посмотреть сообщение
    Всётаки если была линейная адрессация былоб гораздо лучше!
    Линейная адресация в целом хуже. Лучше была бы только "столбцовая".
    Прихожу без разрешения, сею смерть и разрушение...

  11. #40

    Регистрация
    14.01.2005
    Адрес
    Таганрог, Россия
    Сообщений
    4,286
    Спасибо Благодарностей отдано 
    9
    Спасибо Благодарностей получено 
    91
    Поблагодарили
    39 сообщений
    Mentioned
    8 Post(s)
    Tagged
    0 Thread(s)

    По умолчанию

    Идеальный вариант, имхо, 256 байт на строку. Окно вывода задается через внешний аппаратный регистр. Тут тебе и расчет простой и аппаратный скролл по горизонтали.

Страница 4 из 6 ПерваяПервая 123456 ПоследняяПоследняя

Информация о теме

Пользователи, просматривающие эту тему

Эту тему просматривают: 1 (пользователей: 0 , гостей: 1)

Похожие темы

  1. Ответов: 21
    Последнее: 24.05.2013, 09:11
  2. Ответов: 54
    Последнее: 17.07.2012, 01:44
  3. как добавить памяти
    от White_Hunter в разделе Amiga
    Ответов: 9
    Последнее: 03.07.2008, 14:41
  4. Ответов: 11
    Последнее: 23.02.2007, 05:23
  5. Ответов: 5
    Последнее: 24.05.2005, 11:13

Ваши права

  • Вы не можете создавать новые темы
  • Вы не можете отвечать в темах
  • Вы не можете прикреплять вложения
  • Вы не можете редактировать свои сообщения
  •